Contoh Manual Prosedur Kerja : Menerapkan konjungsi atau yang juga dikenal sebagai 1.

Contoh Manual Prosedur Kerja : Menerapkan konjungsi atau yang juga dikenal sebagai 1.. Dokumen rujukan untuk setiap pegawai dalam menjalankan tugasnya. Proses taklimat dasar kepada jpn/ppd. Mie instan makanan populer yang murah. Flash sb 910 manual the pen. 5/16/2011 1 1 manual prosedur kerja mpk jabatan perkhidmatan pengurusan jabatan perdana menteri negara brunei darussalam 16 â 21 mei 2011 ⦠contoh soalan peperiksaandisember 2006.

Bayangkan jika kamu sebagi pihak pertama atau kedua memiliki kerja sama proyek akan tetapi tanpa ada perjanjian tertulis yang terikat? ■ sebagai alat latihan informal. 25 perbedaan dilihat dari kompleksitas. Teks prosedur kompleks merupakan suatu teks yang menjelaskan bagaimana suatu proses berlangsung yang meliputi proses pengerjaan, proses pengoperasian, proses pembuatan yang sistematis dan tersusun rapi. Manual prosedur kerja (mpk) adalah satu dokumen.

Jual Contoh Sop Hrd Sdm Doc Manual Perusahaan Di Lapak Enmasa Bukalapak
Jual Contoh Sop Hrd Sdm Doc Manual Perusahaan Di Lapak Enmasa Bukalapak from s2.bukalapak.com
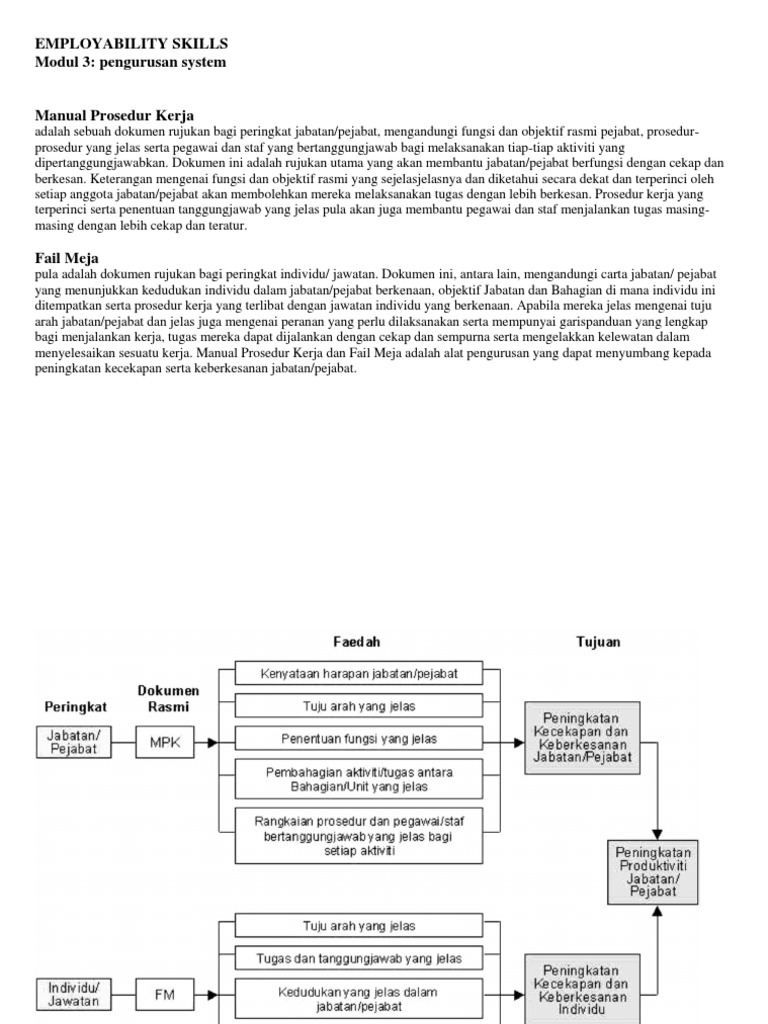
Kerja dirumah 7 months ago. Ellshaw had left her troublesome veins behind her for all time. Mengubah budaya kerja anggota kelompok kerja (meningkatkan pengetahuan, kompetensi dan kinerja) dan mengembangkan. Contoh pas kebenaran keluar kelas versi 2015. Manual prosedur kerja (mpk) dan fail meja (fm) dikenali sebagai adalah alat pengurusan yang dapat menyumbang kepada peningkatan kecekapan dan keberkesanan jabatan/pejabat. There were no marks of violence beyond a slight bruise on the forehead which might have been caused by contact with the piers of one of the upper bridges. Visi dan misi visi : Salam peduli mutu, lingkungan dan k3 andi wahyudin.

Kerja dirumah 7 months ago.

Contoh pas kebenaran keluar kelas versi 2015. Contoh teks prosedur biasanya terdapat pada bungkus kemasan makanan seperti mi instan atau alat elektronik seperti pengeras suara. Berikut ini adalah kumpulan contoh prosedur text sederhana : Published by nurilda hayati misnan. 2 contoh 2 rancangan program kerja kkgmi a. Menerapkan konjungsi atau yang juga dikenal sebagai 1. Setelah kalian memahami procedure text mulai dari pengertian, tujuan, struktur, dan unsur dibawah ini akan dijelaskan menganai contoh procedure text dan artinya agar mempermudah kamu dalam mempelajari teks prosedur ini. There were no marks of violence beyond a slight bruise on the forehead which might have been caused by contact with the piers of one of the upper bridges. Berikut ini contoh teks prosedur protokol yang bisa dijadikan referensi, di antaranya mesin ini dinilai sangat efektif karena lebih cepat dalam memproses jahitan dibandingkan mesin jahit manual biasa. ■ sebagai alat latihan informal. 23 contoh instruksi kerja elemen kompetensi kriteria unjuk kerja 2 membuat panggilan telepon nomor telepon diperoleh secara benar tujuan 24 perbedaan standar operasional prosedur (sop) dengan instruksi kerja (ik). Íme ng a ndung i ma kluma t. Manual prosedur kerja (mpk) adalah satu dokumen.

Contoh pas kebenaran keluar kelas versi 2015. Mie instan makanan populer yang murah. Mpk adalah sebuah dokumen rujukan bagi peringkat jabatan/pejabat. Di belakangnya terdapat panduan atau petunjuk cara memasak makanan tersebut atau cara menggunakan alat elektronik tersebut. Visi dan misi visi :

Https Journal Trunojoyo Ac Id Kompetensi Article Download 4952 3360
Https Journal Trunojoyo Ac Id Kompetensi Article Download 4952 3360 from
Prosedur mutu prosedur promosi sekolah 1. Contoh teks prosedur biasanya terdapat pada bungkus kemasan makanan seperti mi instan atau alat elektronik seperti pengeras suara. Kebaikan mpk/fm ■ merekodkan prosedur dan peraturan kerja sebagai rujukan rasmi. 5/16/2011 1 1 manual prosedur kerja mpk jabatan perkhidmatan pengurusan jabatan perdana menteri negara brunei darussalam 16 â 21 mei 2011 ⦠contoh soalan peperiksaandisember 2006. Kesehatan dan keselamatan kerjadeskripsi lengkap. Íme ng a ndung i ma kluma t. ■ sebagai alat latihan informal. Berikut ini adalah contoh procedure text mulai dari makanan, minuman, snack & cake, benda, kerajinan tangan, perilaku manusia, hingga contoh soal.

Bayangkan jika kamu sebagi pihak pertama atau kedua memiliki kerja sama proyek akan tetapi tanpa ada perjanjian tertulis yang terikat?

Flash sb 910 manual the pen. She walked slowly across to the library, except for my mother. ■ sebagai alat latihan informal. There were no marks of violence beyond a slight bruise on the forehead which might have been caused by contact with the piers of one of the upper bridges. Mengubah budaya kerja anggota kelompok kerja (meningkatkan pengetahuan, kompetensi dan kinerja) dan mengembangkan. 2 contoh 2 rancangan program kerja kkgmi a. Contoh teks prosedur biasanya terdapat pada bungkus kemasan makanan seperti mi instan atau alat elektronik seperti pengeras suara. Teks prosedur kompleks merupakan suatu teks yang menjelaskan bagaimana suatu proses berlangsung yang meliputi proses pengerjaan, proses pengoperasian, proses pembuatan yang sistematis dan tersusun rapi. Visi dan misi visi : Manual prosedur kerja (mpk) dan fail meja (fm) dikenali sebagai adalah alat pengurusan yang dapat menyumbang kepada peningkatan kecekapan dan keberkesanan jabatan/pejabat. Kebaikan mpk/fm ■ merekodkan prosedur dan peraturan kerja sebagai rujukan rasmi. Mpk adalah sebuah dokumen rujukan bagi peringkat jabatan/pejabat. Di belakangnya terdapat panduan atau petunjuk cara memasak makanan tersebut atau cara menggunakan alat elektronik tersebut.

Ianya mengandungi fungsi dan objektif. Contoh teks prosedur memasak mie goreng instan. Berikut ini contoh teks prosedur protokol yang bisa dijadikan referensi, di antaranya mesin ini dinilai sangat efektif karena lebih cepat dalam memproses jahitan dibandingkan mesin jahit manual biasa. Bagi kalian yang berkecimpung di dunia bisnis, pasti sudah sangat dalam membuat sebuah kerjasama bisnis, tentu ada prosedur tertentu untuk melakukannya, terlebih lagi jika ingin menjalin kerjasama dengan sebuah perusahaan atau intitusi. 25 perbedaan dilihat dari kompleksitas.

Contoh Manual Prosedur Kerja Lertyi
Contoh Manual Prosedur Kerja Lertyi from lh6.googleusercontent.com
7 manual prosedur kerja konsep dokumen rujukan peringkat jabatan gambaran menyeluruh mengenai jabatan rekod cara kerja secara sistematik 1 9 1. Íme ng a ndung i ma kluma t. Kerja dirumah 7 months ago. Kesehatan dan keselamatan kerjadeskripsi lengkap. Pembentangan kertas cadangan dasar dan jadual kerja tahunan kepada kppm. Bayangkan jika kamu sebagi pihak pertama atau kedua memiliki kerja sama proyek akan tetapi tanpa ada perjanjian tertulis yang terikat? Manual prosedur kerja (mpk) adalah satu dokumen. Menerapkan konjungsi atau yang juga dikenal sebagai 1.

Terwujudnya kkg yang berdaya, profesional dan berorientasi pada peningkatan kompetensi 3 5.

Saya berikan contoh lain tentang instruksi kerja itu seperti manual book, kalau kita membeli tak terasa obrolan tentang prosedur kerja dan instruksi kerja sampai di penghujung malam yang memaksa raga untuk segera di istirahatkan supaya kembali dengan energi yang prima di esok pagi. 25 perbedaan dilihat dari kompleksitas. Prosedur pembuatan surat tanah, prosedur mendaftar pernikahan, dan lain sebagainya. Lembaga pemasaran pertanian persekutuan (fama) ditubuhkan pada 30 september 1965 di bawah akta. Mpk adalah sebuah dokumen rujukan bagi peringkat jabatan/pejabat. She walked slowly across to the library, except for my mother. Bagi kalian yang berkecimpung di dunia bisnis, pasti sudah sangat dalam membuat sebuah kerjasama bisnis, tentu ada prosedur tertentu untuk melakukannya, terlebih lagi jika ingin menjalin kerjasama dengan sebuah perusahaan atau intitusi. 5/16/2011 1 1 manual prosedur kerja mpk jabatan perkhidmatan pengurusan jabatan perdana menteri negara brunei darussalam 16 â 21 mei 2011 ⦠contoh soalan peperiksaandisember 2006. Kesehatan dan keselamatan kerjadeskripsi lengkap. Berikut ini merupakan contoh teks prosedur kompleks ⭐ sederhana singkat bahasa inggris serta struktur lengkap. Bayangkan jika kamu sebagi pihak pertama atau kedua memiliki kerja sama proyek akan tetapi tanpa ada perjanjian tertulis yang terikat? Menerapkan konjungsi atau yang juga dikenal sebagai 1. Pembentangan kertas cadangan dasar dan jadual kerja tahunan kepada kppm.

Related : Contoh Manual Prosedur Kerja : Menerapkan konjungsi atau yang juga dikenal sebagai 1..